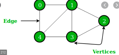
what are the edges and vertices in this video ??
what is the difference bw them
What are the edges and vertices in this video?
hello @anujsharmabadboy
have u watched previous graph videos?
vertices are nodes only .
and edge represent direct connection of two nodes .

No, this video is in linked list section
ok then this will make more sense after studying graph
I hope I’ve cleared your doubt. I ask you to please rate your experience here
Your feedback is very important. It helps us improve our platform and hence provide you
the learning experience you deserve.
On the off chance, you still have some questions or not find the answers satisfactory, you may reopen
the doubt.