I am unable to apply the naive baye’s formula in this question.
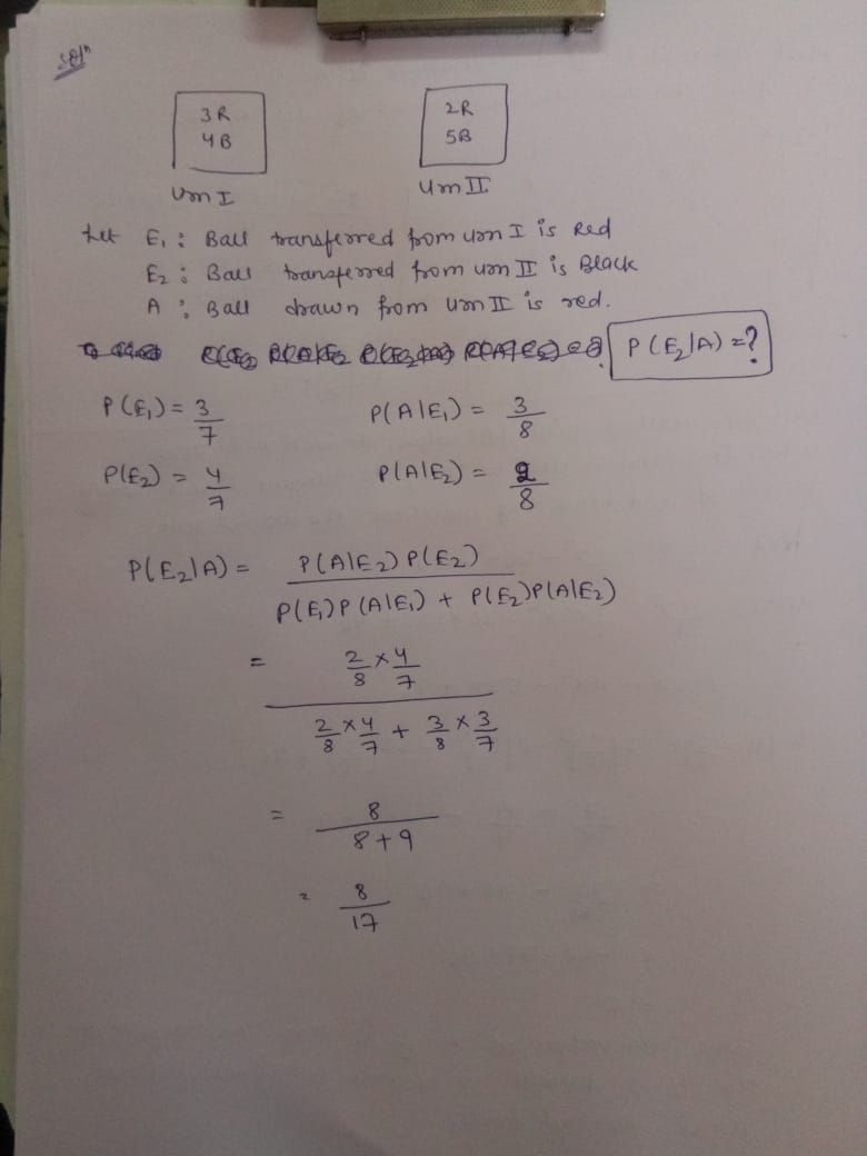
Two urns 1 and 2 contains 3 red & 4 black balls, 2 red & 5 black balls respectively. A ball is transferred from urn 1 to urn 2 and then a ball is drawn from urn 2. If the ball is found to be red find the probability that the ball transferred from urn 1 is black.

