I have no idea of Q1,Q4
and how the answer of question number 13 is n^2
Problem in answers?
Q1 can be best understood while studying graphs(topic kruskal algorithm)
and Q4 can be best done when doing merge sort(under the recursion section) (in merge sort we create a temp array to store the merged array in sorted form and then copy it to the original array so that has the space complexity of O(n)
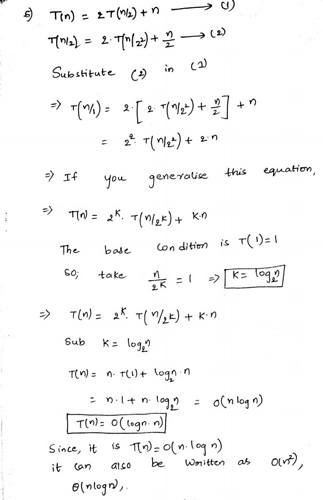
Q13
I hope I’ve cleared your doubt. I ask you to please rate your experience here
Your feedback is very important. It helps us improve our platform and hence provide you
the learning experience you deserve.
On the off chance, you still have some questions or not find the answers satisfactory, you may reopen
the doubt.
